课题组在交错磁体探测研究方面取得重要进展
近日,课题组王锐教授和许东辉教授团队在交错磁性研究领域取得重要进展。研究团队提出了一种利用拓扑绝缘体异质结探测交错磁体中特有的倒易空间(k空间)自旋极化的新方案。相关研究成果以"Probing k-Space Alternating Spin Polarization via the Anomalous Hall Effect"为题,发表于国际顶级物理学期刊《物理评论快报》(Physical Review Letters) Phys. Rev. Lett. 135, 096602 (2025)。
该成果由重庆大学、湖北大学和深圳技术大学研究者共同完成。湖北大学特任研究员陈锐为论文第一作者,重庆大学物理学院博士生王梓名为第二作者。重庆大学王锐教授和许东辉教授为通讯作者。论文作者还包括湖北大学周斌教授和深圳技术大学孙海鹏博士。

交错磁性(Altermagnetism)是新近发现的一种基本磁序,它在对称性分类上不同于传统的铁磁与反铁磁序,被视为"第三种磁序"。交错磁体的一大特性是:它和反铁磁体一样,净磁矩为零,不产生外部杂散场;但同时,其电子能带在k空间展现出一种正负交替的自旋极化现象(图1)。这一独特性质使其能够表现出传统磁性材料难以实现的巨大自旋劈裂和自旋电子学效应,因而在研发高速、高密度、低功耗的自旋电子学器件方面展现出巨大的应用潜力。然而,如何从实验上直接并可靠地探测其独特的k空间自旋织构,是当前该领域面临的核心挑战。

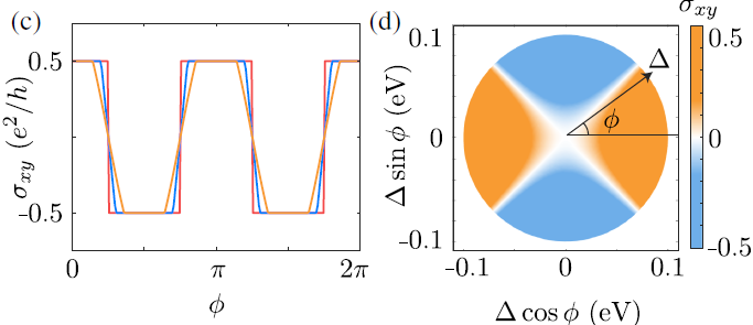
针对这一挑战,课题组创新性地提出构建由交错磁体和拓扑绝缘体组成的异质结(图2)。理论计算发现,交错磁性对时间反演对称性的破坏,会使得拓扑绝缘体狄拉克表面态获得能隙,进而在外场调控下产生一种交替变化的半量子化反常霍尔效应。这种独特的霍尔效应信号的符号变化,直接反映了交错磁体k空间中自旋极化的交替特性(图3)。因此,这种半量子化的反常霍尔效应可作为高精度的"探针",用于表征交错磁体的k空间自旋极化。

该探测方案具有良好的普适性,即使对于本身反常霍尔效应缺失的交错磁体材料也同样适用。课题组还进一步对该方案在具有不同对称性(如d波、g波和i波)的交错磁体中的应用进行了理论预测,并证实该探测信号在合理的无序条件下仍然非常稳固,证明了其在真实材料体系中的可行性。这项工作为实验上深入探索交错磁体的物理性质提供了重要理论指导。
该工作得到了国家自然科学基金、重庆自然科学基金和中央高校基本科研等项目的资助。